The Lancet vient de publier une intéressante analyse de l’espérance de vie sur la période 1990-2021 dans 20 pays européens. Sur l’ensemble de cette période, l’espérance de vie progresse de manière générale moins vite que par le passé, et affiche même, en 2019-2021, une baisse sous l’effet Covid. Principale mise en cause : la santé cardiovasculaire mise à mal par les habitudes modernes. Une bonne nouvelle cependant : dans ce palmarès européen, la Belgique est en bonne position ! (source)
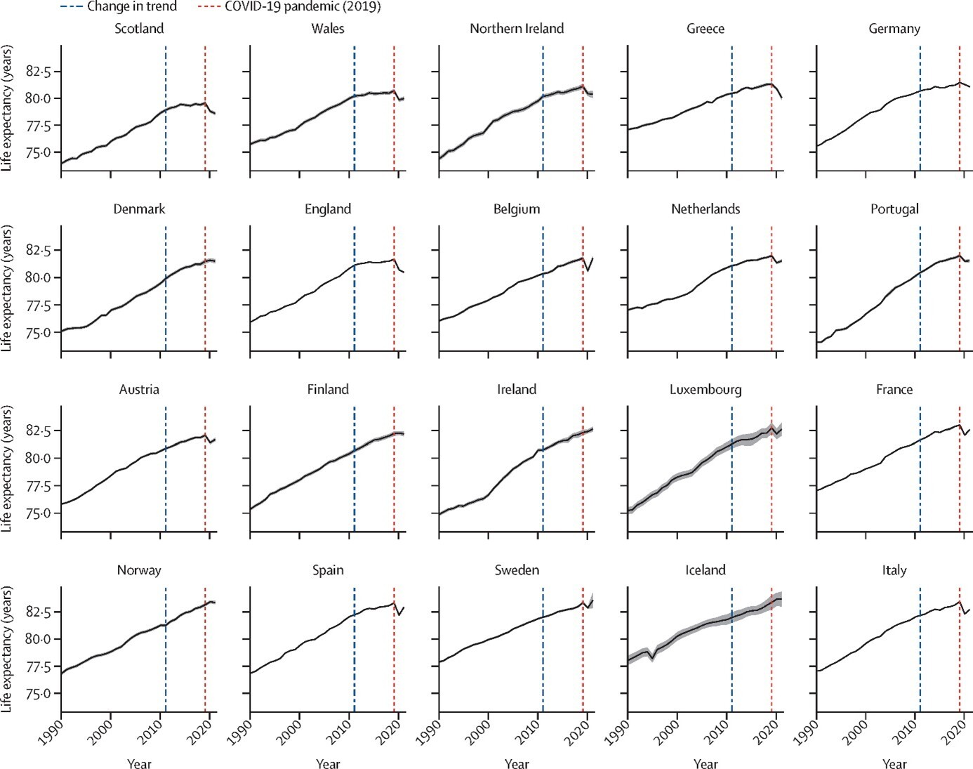
Publiés en mars 2025, dans The Lancet Public Health, ces résultats sont le fruit des travaux du groupe de travail GBD 2021 sur l’espérance de vie (Global Burden of Diseases, Injuries, and Risk Factors Study 2021). L’analyse portait sur 20 pays européens : Allemagne, Autriche, Belgique, Danemark, Espagne, Finlande, France, Grèce, Irlande, Islande, Italie, Luxembourg, Norvège, Pays-Bas, Portugal, Suède et Royaume-Uni (subdivisé en ses 4 nations : Angleterre, Écosse, Irlande du Nord et pays de Galles). Elle comparait 3 périodes : 1990-2011, 2011-2019 et 2019-2021 et, en plus de l’espérance de vie à la naissance, s’intéressait également aux causes de mortalité et aux niveaux d’exposition aux facteurs de risque.
Un ralentissement notable
La bonne nouvelle est que tous les pays inclus à cette analyse affichaient une belle progression de l’espérance de vie à la naissance : en moyenne +0,23 an en rythme annuel sur la période 1990-2011 et en moyenne +0,15 an en rythme annuel sur 2011-2019 (tous pays confondus).
En laissant volontairement hors-champ la baisse induite par les années COVID, la moins bonne nouvelle est le net ralentissement à partir de 2011 de la progression de l’espérance de vie, par rapport aux décennies précédentes. Les facteurs pouvant expliquer ce ralentissement font encore débat.

Infographie issue de l’étude. Espérance de vie à la naissance, tous sexes confondus, 1990-2021
Le seul pays à faire exception est la Norvège, où l’espérance de vie a continué à progresser de belle manière jusqu’en 2019. Dans tous les autres pays, les taux de progression 2011-2019 sont inférieurs à ce qu’ils étaient sur 1990-2011. Les différences en rythme annuel moyen vont de -0,01 an en Islande (+0,19 an [1990-2011] vs +0,18 an [2011-2019]) à -0,18 an en Angleterre (+0,25 an vs +0,07 an).
Sans surprise, les années COVID ont eu un impact sur l’espérance de vie. On le retrouve sur la période 2019-2021 dans la plupart des pays (en moyenne une baisse de 0,18 an tous pays confondus). Quelques exceptions cependant : l’Irlande, l’Islande, la Suède, la Norvège et le Danemark, où l’espérance de vie progresse malgré tout un peu sur cette période 2019-2021, et... la Belgique, où l’espérance de vie se maintient au même niveau malgré l’impact de l’épidémie.
La clé ? Le cardiovasculaire !!

Infographie issue de l’étude. Modifications 1990-2011 de l’espérance de vie à la naissance, tous sexes confondus, par cause de mortalité. Barre noire pleine = 1990, barre en pointillés = 2011

Infographie issue de l’étude. Idem 2011-2019. Barre noire pleine = 2011, barre en pointillés = 2019
Sur la période 1990-2011, ce sont les progrès réalisés dans la réduction de la mortalité liée aux maladies cardiovasculaires et aux néoplasmes qui boostent l’allongement de l’espérance de vie à la naissance. Sur la période 2011-2019, on retrouve un effet lié à la réduction de la mortalité cardiovasculaire.
Tabagisme en baisse, IMC en hausse
Avec quelques différences d’un pays à l’autre, les principaux facteurs de risque identifiés - pour la plupart évitables - sont : hypertension systolique, mauvaise alimentation, cholestérol LDL, tabagisme, IMC élevé, risques professionnels, forte consommation d’alcool et autres risques tels que faible activité physique.
De manière générale, ces chercheurs constatent une baisse du tabagisme et une hausse des IMC dans tous ces pays sur la période 1990-2021.

Infographie issue de l’étude. Taux standardisés sur l’âge (pour 100 000 personnes) de mortalité attribuable à des facteurs spécifiques de risque cardiovasculaire ou de néoplasmes, tous sexes confondus, pour l’ensemble de ces 16 pays en 2019.